Initial Testing Of Norsat C-Band LNB 3420

Status
Please reply by conversation.
It really doesn't matter which way you have them,as long as whichever lnb is in the vertical plane is connected to the vertical port and the horizontal is hooked to the horiz port.

Yes, I agree, that's what I was thinking too; thank you! Does it matter which way 90 degrees I rotate the feedhorn? Left or right, being an offset dish?
 
Nope, doesn't matter. ______ ,rotated 180, ______ see the difference :biggrin

Yeah, no kidding!! That would be embarrassing. I should have remembered my earlier post this morning to rotate it no more than 90 degrees; before thinking of other stuff. If the weather is half decent tomorrow afternoon after work, I will head back up to the roof with wrenches and meters in hand to make adjustments. I will take new corrected pics. It's looking promising that I will finally get the most that I can from my 1.2M offset dish! That was always the goal since I first started looking at C-Band prospects. I knew how weak C-Band signals are, as well as neighborhood limits on dish size, so I decided to get as much performance and results that I could. I'm past tired of just "settling" for only half decent stuff from China, or what The Man only tells me to buy. I wanted to see what Korea and Japan have to offer me too. If it's better than Chinese anything, I will try it and stick it back to The Man! Lol! :-D
 
It's not that C band is weaker,it's a different wavelength (bigger),than Ku, so you need a bigger dish.It's like the difference between UHF,smaller antenna,and VHF,bigger antenna.

Ok, that makes sense. I've always read that it's always been weaker so you need a much bigger dish for improved gain. Probably another way to describe what you just said. But on the other hand, uplinkers have been upping the signal power too a little bit, making C-Band on a 1.2M dish possible for some. I'm just happy I can get what I can on C-Band, it's definetly better! :-D
 
It's not that C band is weaker,it's a different wavelength (bigger),than Ku, so you need a bigger dish,to catch all the wave.It's like the difference between UHF,smaller antenna,and VHF,bigger antenna.
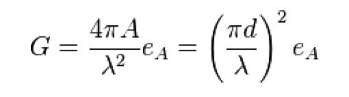
In mathematical terms, the gain of a parabolic reflector is proportional to the square of its frequency and diameter. In this equation, lambda is the wavelength (or speed of light / frequency), 'd' is the diameter of the reflector and 'eA' is the efficiency coefficient.
Gain.jpg
 
In mathematical terms, the gain of a parabolic reflector is proportional to the square of its frequency and diameter. In this equation, lambda is the wavelength (or speed of light / frequency), 'd' is the diameter of the reflector and 'eA' is the efficiency coefficient.
View attachment 115274
I passed algebra,but only because they cancelled the test that year :biggrin,trig? fageddaboutit :D
 
I passed algebra,but only because they cancelled the test that year :biggrin,trig? fageddaboutit :D

I'm not much into Rocket or Nuclear Science's myself. :-D I have a hard enough time as it is with basic math! I let the computers and signal meters do all that complicated math for me. If I can lock on the best signal that I can on both polarities with what I'm limited to, I'm happy as can be. :-)
 
This is really strange, I rotate the Feedhorn one direction, than the other way, pulled it in, pushed it out, elevated the dish up and down, not a hint of signal. I triple checked my cable connections and settings too on the meter.
 

Attachments

  • 1459290715205.jpg
    1459290715205.jpg
    89.4 KB · Views: 185
  • 1459290727539.jpg
    1459290727539.jpg
    60.3 KB · Views: 209
  • 1459290739159.jpg
    1459290739159.jpg
    142.9 KB · Views: 204
This is the only way a signal will come in. The signal meter batteries are getting low, so I have to fine tune it and lock it in where it is I guess. Scratching my head......
 

Attachments

  • 1459291114950.jpg
    1459291114950.jpg
    67.6 KB · Views: 191
  • 1459291125402.jpg
    1459291125402.jpg
    134 KB · Views: 185
This is the best I can do, with it getting dark, I will have to finish up and see how it does inside on the TV. I elevated the dish back up to 27 degrees, for matching best signal, I still don't know how it will track the arc. I'm supposed to be 24 degrees elevation, but I think the scale is off. I also tried again to correct the dish alignment, I'm forever 1 or 2 degrees off no matter how many times I've tried to correcting it before. I keep thinking the motor is not very compatible or doesn't do too well with USAL's. Will have to see how it goes and make more adjustments to the elevation if needed.
 

Attachments

  • 1459294392013.jpg
    1459294392013.jpg
    112.9 KB · Views: 196
  • 1459294409555.jpg
    1459294409555.jpg
    97.2 KB · Views: 187
This is the best I can do, with it getting dark, I will have to finish up and see how it does inside on the TV. I elevated the dish back up to 27 degrees, for matching best signal, I still don't know how it will track the arc. I'm supposed to be 24 degrees elevation, but I think the scale is off. I also tried again to correct the dish alignment, I'm forever 1 or 2 degrees off no matter how many times I've tried to correcting it before. I keep thinking the motor is not very compatible or doesn't do too well with USAL's. Will have to see how it goes and make more adjustments to the elevation if needed.

Is it me or are you pointed a little left of center? Its hard to tell in the picture.
 
Is it me or are you pointed a little left of center? Its hard to tell in the picture.

I got it centered in the middle as close as I can, eyeball lined it up with the bottom support arm bolt, and the LNB bolts lined up with both sides of the metal clamp. I might have turned it a smidgen after taking the pic. It looks a little off because I'm pointed at 99W, it's the best way I can work on the dish from the roof.
 
  • Like
Reactions: fred555
When you rotate the feed 90 degrees one way or the other, you may have to clear all the channels out of the receiver and do a new scan, you might not pick up anything unless you rescan channels. I would have to do that when I was using a ortho feed with two Norsats on my dish after moving the feed more than a little bit, although my Norsats are DRO and old, not PLL, might be different. Play around with how far you rotate it too, it might get better reception not quite rotated the full 90, or a little more, etc. Your setup looks nice!
 
I think you're doing well on a 1.2m dish. You got blood from that turnip.

Sent from a phone, probably while I'm driving over the speed limit through a school zone with construction workers present.
 
When you rotate the feed 90 degrees one way or the other, you may have to clear all the channels out of the receiver and do a new scan, you might not pick up anything unless you rescan channels. I would have to do that when I was using a ortho feed with two Norsats on my dish after moving the feed more than a little bit, although my Norsats are DRO and old, not PLL, might be different. Play around with how far you rotate it too, it might get better reception not quite rotated the full 90, or a little more, etc. Your setup looks nice!

Thank you!! :-) I had both Satlink meters hooked to the LNB's; one Vertical and one Horizontal on a known good TP's. I rotated the Feedhorn all the way around one direction and then the other direction, nothing came up at all; unless the Feedhorn was in the spot where it's at now in the pic. It's the only way I can make it work I guess, the polarities are backwords on the dish, but the polarities come in correctly at the receiver. Its no real big deal, it just doesn't look right, but whatever. :-/ The Satlink batteries died as I was rotating the Feedhorn around, so I had to get it plugged into an extension cord and get everything finished up as it was getting dark. I have run some blind scans on a few Sats, and both polarities get scanned correctly. I have the settings at 13/18V. External power to the LNB'S are highly recommended but not required either. I don't have a very good way to run external power to the LNB's without running more cables through the wall of the house; which my wife won't appreciate.
 
Status
Please reply by conversation.

Need wiring help with Echostar 4000 SRD C-band receiver

Looking For Miniature Satellite Dish Model

Users Who Are Viewing This Thread (Total: 0, Members: 0, Guests: 0)

Who Read This Thread (Total Members: 2)